【導讀】熱電偶是一種常見的被動測溫元件。它也是一種有源傳感器,測量時不需外加電源,并且測量溫度范圍(高達2000°C)很廣。它可以快速響應,故系統運行幾乎沒有顯著的延遲。

熱電偶結構圖:熱電偶結構簡單,主要由兩根金屬導線組成一個回路。
一般熱電偶產生的輸出電壓很小(K型為約?40μV/每°C),故需要精確的運放支持。否則,外部噪聲(尤其是在熱電偶和測量電路之間使用長導線時)可能會使信號失真。下表顯示了一些常見的熱電偶類型和特性。
另一個問題是“冷端”,它是熱電偶導線與信號電路的線連接的地方,如同線路中的第二個熱電偶。

為了補償冷端的影響,可以嘗試測量冷端溫度,并將得出的電壓加上熱電偶電壓(Vout),讓熱電偶測量端感測得出的電壓(Vcj)能正式被顯示
Vtc = Vout + Vcj
其中Vtc = 由熱電感得到的電壓
Vcj =于“冷端”得出的電壓
以下是典型的熱電偶補償電路。溫度傳感器位于冷端進行監視,ADC以所需的分辨率提供輸出數據。

(來源:Digi-Key)
更多資料:
熱電偶測量原理
熱電偶是常見的溫度測量元件,熱電偶原理比較簡單,它直接把溫度信號轉換成熱電動勢信號,通過電氣儀表轉換成被測介質的溫度,雖然原理簡單,但測量并不簡單。
熱電偶測溫原理
熱電偶產生的熱電勢由接觸電勢和溫差電勢兩部分組成。
接觸電勢:兩種不同材料的導體,其電子密度是不同的。當兩種不同材料的導體兩端接合在一起時,在連接處,會發生電子擴散,電子擴散的速率與自由電子的密度以及導體的溫度成正比。于是就在連接處形成電位差,即接觸電勢。
溫差電勢:當一根導體的兩端溫度不同時,在導體內部兩端的自由電子相互擴散的速率不同,這個在高低溫端之間一個靜電場。此時導體上產生一個相應的電位差,稱為溫差電勢。此電勢只與導體的性質和導體兩端的溫度有關,與導體的長度、截面大小、沿導體長度上的溫度分布無關。
熱電偶的示意圖

圖1 熱電偶的示意圖
熱電偶的測量電路圖

圖2 熱電偶的測量電路圖
直接用作測量介質溫度的一端叫做工作端(也稱為測量端),另一端叫做冷端(也稱為補償端);冷端與顯示儀表或配套儀表連接,顯示儀表會指出熱電偶所產生的熱電勢。
在實際熱電偶的測量中,熱電偶的測量電路一般由熱電偶(A、B兩種導體)、連接導線C和測量儀器組成。測量時將熱電偶置于被測環境中,如圖2所示,形成有J1、J2、J3三個接觸電勢,以及兩個溫差電勢,整個熱電偶的電勢由這幾部分構成。
為了更好的理解這幾部分的電勢,我們需要了解一個定律:中間導體定律。
中間導體定律:在熱電偶回路中接入中間導體(第三導體),只要中間導體兩端溫度相同,中間導體的引入對熱電偶回路總電勢沒有影響。
由中間導體定義推導出:
1、組成熱電偶回路的兩種導體材料相同時,無論兩接點溫度如何,回路總熱電勢等于零。
2、如果熱電偶兩接點的溫度相同,則盡管導體A,B材料不同,熱電偶回路的總電勢亦為零。
所以J2和J3處于同一溫度點,接觸電勢等于零。同時,在測量時,為了消除溫差電勢對測量影響,我們對連接導線C會有比較嚴格的要求,連接導線C我們稱之為補償導線,補償導線實際上是同分度熱電偶是同材質的導線,這樣回路中溫差電勢也為零。這樣整個回路的電勢只與J1的電勢有關。由于熱電偶技術條件都是指冷端(非工作端)處在0℃時的電動勢,要求工作時,保持0℃,這樣熱電勢才能正確反映熱端溫度大小,否則就會產生誤差。為了修正在室溫下的測量誤差,熱電偶一般進行溫度補償。
熱電偶的溫度補償
熱電偶冷端溫度補償的方法主要有:
01 冷端恒溫法
這種方法將熱電偶的冷端放在恒溫場合,有0℃恒溫器和其他恒溫器兩種。
02 電橋補償法
熱電偶經補償導線接至補償電橋,熱電偶冷端與電橋處于同一環境溫度中,利用不平衡電壓來自動補償熱電偶因冷端溫度變化而引起的熱電勢變化值。
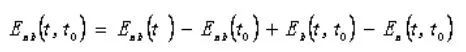
03 計算修正法
由于熱電偶E-T之間通常呈非線性關系,當冷端溫度不為0攝氏度時,不能利用已知回路實際熱電勢E(t,t0)直接查表求取熱端溫度值;也不能利用已知回路實際熱電勢E(t,t0)直接查表求取的溫度值,再加上冷端溫度確定熱端被測溫度值,需按中間溫度定律進行修正。
中間溫度定律:熱電偶回路兩接點(溫度為T、T0)間的熱電勢,等于熱電偶在溫度為T、Tn時的熱電勢與在溫度為Tn、T0時的熱電勢的代數和。Tn稱中間溫度。
熱電偶的測量優點
熱電偶的測量相對熱電阻來說要復雜得多,但是以其獨特的優點得到廣泛應用。
1、測量精度高。因熱電偶直接與被測對象接觸,不受中間介質的影響。
2、測量范圍廣。常用的熱電偶從-50~+1600℃均連續測量,某些特殊熱電偶最低可測到-269℃(如金鐵鎳鉻),最高可達+2800℃(如鎢-錸)。
3、構造簡單,使用方便。熱電偶通常是由兩種不同的金屬絲組成,而且不受大小的限制,外有保護套管,用起來非常方便。
熱電偶四大基本定律及證明
熱電偶的基本定律包括均質導體定律、中間導體定律、中間溫度定律以及參考電極定律,熱電偶的這四大基本定律對熱電偶的應用有及其重要的作用。
均質導體定律
定義:由同一種均質材料(導體或半導體)兩端焊接組成閉合回路,無論導體截面如何以及溫度如何分布,將不產生接觸電勢,溫差電勢相抵消,回路中總電勢為零。
可見,熱電偶必須由兩種不同的均質導體或半導體構成。若熱電極材料不均勻,由于溫度梯存在,將會產生附加熱電勢。
證明:熱電偶的電勢由兩個接觸電勢和兩個溫差電勢構成。即:

由于材料相同,沒有接觸電勢;而溫差電勢為大小相同,方向相反的兩個電勢,相互抵消,也為零。
應用:根據這個定律,可以檢驗兩個熱電極材料成分是否相同(稱為同名極檢驗法),也可以檢查熱電極材料的均勻性。
中間導體定律
定義:在熱電偶回路中接入中間導體(第三導體),只要中間導體兩端溫度相同,中間導體的引入對熱電偶回路總電勢沒有影響。
證明:證明過程參考熱電偶中間定律的證明
應用:依據中間導體定律,在熱電偶實際測溫應用中,常采用熱端焊接、冷端開路的形式,冷端經連接導線與顯示儀表連接構成測溫系統。例如,用銅導線連接熱電偶冷端到儀表讀取mV值,在導線與熱電偶連接處產生的接觸電勢是不會對測量產生附加誤差。再比如可以將熱電偶的兩端不焊接而直接插入液態金屬中或直接焊在金屬表面進行溫度測量。
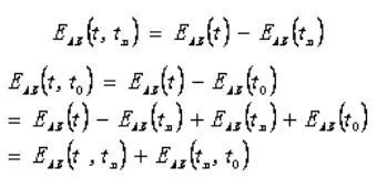
中間溫度定律
定義:熱電偶回路兩接點(溫度為t,t0)間的熱電勢,等于熱電偶在溫度為t、tn時的熱電勢與在溫度為tn、t0時的熱電勢的代數和。tn稱中間溫度。
證明:

應用:由于熱電偶E-T之間通常呈非線性關系,當冷端溫度不為0攝氏度時,不能利用已知回路實際熱電勢E(t,t0)直接查表求取熱端溫度值;也不能利用已知回路實際熱電勢E(t,t0)直接查表求取的溫度值,再加上冷端溫度確定熱端被測溫度值,需按中間溫度定律進行修正。初學者經常不按中間溫度定律來修正!
參考電極定律
定義:如果兩種導體分別與第三種導體組成的熱電偶所產生的熱電動勢已知,則由這兩種導體組成的熱電偶所產生的熱電動勢也就已知。
證明:
導體A、B分別與標準電極C組成熱電偶,若它們所產生的熱電動勢為已知,即
那么,導體A與B組成的熱電偶,其熱電動勢為
應用:標準電極定律是一個極為實用的定律。純金屬的種類很多,而合金類型更多。因此,要得出這些金屬之間組合而成熱電偶的熱電動勢,其工作量是極大的。由于鉑的物理、化學性質穩定,熔點高,易提純,所以,我們通常選用高純鉑絲作為標準電極,只要測得各種金屬與純鉑組成的熱電偶的熱電動勢,則各種金屬之間相互組合而成的熱電偶的熱電動勢就可以得到。
例如:熱端為100℃,冷端為0℃時,鎳鉻合金與純鉑組成的熱電偶的熱電動勢為2.95mV,而考銅與純鉑組成的熱電偶的熱電動勢為-4.0mV,則鎳鉻和考銅組合而成的熱電偶所產生的熱電動勢則為 2.95mV-(-4.0mV)=6.95mV。
熱電偶和熱電阻的差別
熱電偶簡介
熱電偶是工業上最常用的溫度檢測元件之一,熱電偶工作原理是基于賽貝克seeback效應,即兩種不同成分的導體兩端連接成回路,如兩連接端溫度不同,則在回路內產生熱電流的物理現象。
01 熱電偶基本測溫原理
熱電偶測溫基本原理是將兩種不同材料的導體或半導體焊接起來,構成一個閉合回路。由于兩種不同金屬所攜帶的電子數不同,當兩個導體的二個連接點之間存在溫差時,就會發生高電位向低電位放電現象,因而在回路中形成電流,溫度差越大,電流越大,這種現象稱為熱電效應,也叫塞貝克效應。熱電偶就是利用這一效應來工作的。
02 熱電偶種類及結構構成
(1) 熱電偶的種類
常用熱電偶可分為標準熱電偶和非標準熱電偶兩大類。標準熱電偶是指國家標準規定了其熱電勢與溫度的關系、允許誤差、并有統一的標準分度表的熱電偶,它有與其配套的顯示儀表可供選用。非標準化熱電偶在使用范圍或數量級上均不及標準化熱電偶,一般也沒有統一的分度表,主要用于某些特殊場合的測量。
標準化熱電偶我國從1988年1月1日起,熱電偶和熱電阻全部按IEC國際標準生產,并指定S、B、E、K、R、J、T七種標準化熱電偶為我國統一設計型熱電偶。
(2) 熱電偶的結構形式為了保證熱電偶可靠、穩定地工作,對它的結構要求如下:
①組成熱電偶的兩個熱電極的焊接必須牢固;
②兩個熱電極彼此之間應很好地絕緣,以防短路;
③補償導線與熱電偶自由端的連接要方便可靠;
④保護套管應能保證熱電極與有害介質充分隔離。
熱電阻簡介
熱電阻是中低溫區最常用的一種溫度檢測器。它的主要特點是測量精度高,性能穩定。其中鉑熱電阻的測量精確度是最高的,它不僅廣泛應用于工業測溫,而且被制成標準的基準儀。
01 熱電阻測溫原理及材料
熱電阻測溫是基于金屬導體的電阻值隨溫度的增加而增加這一特性來進行溫度測量的。熱電阻大都由純金屬材料制成,目前應用最多的是鉑和銅,此外,現在已開始采用鎳、錳和銠等材料制造熱電阻。
02 熱電阻的類型
(1) 普通型熱電阻
從熱電阻的測溫原理可知,被測溫度的變化是直接通過熱電阻阻值的變化來測量的,因此,熱電阻體的引出線等各種導線電阻的變化會給溫度測量帶來影響。
(2) 鎧裝熱電阻
鎧裝熱電阻是由感溫元件(電阻體)、引線、絕緣材料、不銹鋼套管組合而成的堅實體,它的外徑一般為φ2--φ8mm。與普通型熱電阻相比,它有下列優點:①體積小,內部無空氣隙,熱慣性上,測量滯后小;②機械性能好、耐振,抗沖擊;③能彎曲,便于安裝;④使用壽命長。
(3) 端面熱電阻
端面熱電阻感溫元件由特殊處理的電阻絲材繞制,緊貼在溫度計端面。它與一般軸向熱電阻相比,能更正確和快速地反映被測端面的實際溫度,適用于測量軸瓦和其他機件的端面溫度。
(4)隔爆型熱電阻
隔爆型熱電阻通過特殊結構的接線盒,把其外殼內部爆炸性混合氣體因受到火花或電弧等影響而發生的爆炸局限在接線盒內,生產現場不會引超爆炸。隔爆型熱電阻可用于Bla--B3c級區內具有爆炸危險場所的溫度測量。
熱電阻和熱電偶的差別
1. 雖然都是接觸式測溫儀表,但它們的測溫范圍不同,熱電偶使用在溫度較高的環境,幾種常見熱電偶的測量范圍如下:

除了表中的幾種熱電偶,還有J型,T型等。熱電偶一般用于500度以上的較高溫度,因它們在低溫區時輸出熱電勢很小(查表可以看一下),當電勢小時,對抗干擾措施和二次表和要求很高,否則測量不準,還有,在較低的溫度區域,冷端溫度的變化和環境溫度的變化所引起的相對誤差就顯得很突出,不易得到全補償。這時在中低溫度時,一般使用熱電阻測溫,范圍為-200℃~500℃,甚至還可測更低的溫度(如用碳電阻可測到1K左右的低溫)。現在正常使用鉑熱電阻Pt100,在工業上也有用銅電阻,分度號為CU50和CU100,但測溫范圍較小,在-50℃~150℃之間,在一些特殊場合還有銦電阻,錳電阻。
1. 熱電偶測量溫度的基本原理是熱電效應。二次表是一個檢伏計或為了提高精度時使用電子電位差計。熱電阻是基于導體和半導體的電阻值隨溫度而變化的特性而工作的。
2. 由熱電偶測溫原理可知,只有在其冷端溫度恒定時,被測溫度才與熱電勢成單值函數關系。在實際使用中,就用一種熱電特性與相應熱電偶特性相似的廉價的連接導線(也稱為補償導線),使熱電偶冷端引伸到溫度相對恒定的地方(最好為0度),如用銅--康銅做補償導線來引申鎳鉻---鎳硅熱電阻。因此,熱電偶到二次表延長線是兩根。熱電阻與二次表之間是用銅導線連接的,為了減小環境變化引起的測量誤差,一般均采用三線制接法,其中有兩根導線將熱電阻串聯于相鄰的兩個橋臂上,另一根導線是引來電源。使用時要求每根導線的電阻值與調整電阻之和都保證為5歐姆(±0.01)。
推薦閱讀:





