【導讀】理想的共模電感流過對稱的電流是不會出現飽和的,但實際應用的共模電感由于其差模分量的存在,在流經較大的電流時,仍有可能出現飽和。

一、等效模型
假設共模電感兩繞組對稱繞制,當兩繞組流過大小相等方向相反的電流時,其磁通如下所示:

圖 1 共模電感通過差模電流時的磁通示意圖
對于每個繞組而言,它產生的磁通總可以分成兩部分:
1.沒有耦合到鄰近繞組的磁通,該磁通流經磁芯(繞組內部)并經空氣形成閉環,即漏磁通(差模電感)。
2.通過磁芯耦合到鄰近繞組的磁通。由于兩個繞組所產生的該部分磁通總是大小相等方向相反,因此其總合為0,對自感沒有貢獻。
因此,對于差模磁通而言,可以等效為兩個棒狀電感串聯。

圖 2 共模電感差模分量的等效模型
從該等效模型我們可以得到:
● 差模電感Ldm為兩個繞組各自的自感;將兩繞組同側短路,對另一側端口所測量的電感量Ltest為兩差模電感之和,即Ltest=2Ldm。
● 被線圈覆蓋部分的磁芯總有磁通流過,且有LdmIdm=NØ。
● 兩繞組產生的自感磁通相互“隔離”。兩繞組自感對磁通的貢獻不能相互疊加。
二、共模電感差模分量的計算
1.計算環形空氣芯的電感量:

2.乘以棒狀電感(半個磁環)的等效磁導率
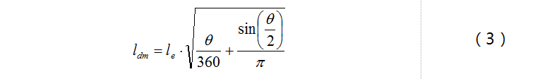
從圖1可以看出,差模磁通(漏磁通)并不是完全被束縛在磁芯里面,而是有兩部分組成:磁芯里面和磁芯外面。磁路長度為:

其中,θ為繞組在磁芯上所覆蓋的長度對圓心所張開的角度。

圖3 差模電感量磁路長度計算模型
然而漏磁通并不僅僅只存在于磁環的內側,同樣,磁環的外側也存在著一部分漏磁通,因此,根據經驗對上式修正為:

即

等效相對磁導率是一個與磁芯相對磁導率關的參數,差模電感的等效相對磁導率是一個只跟磁芯幾何參數有關的量。

其中,
le為廠商所提供的環形磁芯的有效磁路長度;
d為與磁芯有效截面Ae面積相等的圓的直徑;
綜上所述:
共模電感的差模分量可以按下式進行估算:

三、實驗驗證
為了驗證上述模型的正確性,進行了下述實驗:
1.共模電感差模分量的計算
● 測試條件:
(1)磁芯:R7K T25/15/1;
(2)儀器:LCR表;
(3)測試頻率:100KHz;
(4)測試信號幅值:1V;
(5)直流偏置:0A。
● 測試方法: 將共模電感兩繞組的其中一側短接,然后再對另一側進行測量,由上述模型可知,所測得的電感量為差模電感量的兩倍。

2. 驗證差模分量是否會使電感飽和
● 實驗條件:
(1)磁芯:R7K T25/15/7.5;
(2)匝數:50;
(3)儀器:LCR表;
(4)測試頻率:100KHz;
(5)測試信號幅值:1V;
(6)直流偏置:8A。
● 理論計算:

● 測試方法: 將共模電感兩繞組的其中一側短接,然后再對另一側進行測量:在8A的直流偏置下,不同溫度下的差模電感量如下:

結果:在110℃,該共模電感流過8A的電流時出現了飽和。
四、結論
1.共模電感的差模分量所產生的磁通雖然只流經磁芯的一部分,但只要該磁通密度足夠大(在高溫大電流下)也會使電感飽和;
2.當電感工作的最大磁通密度Bm>0.6Bsat(在60℃時,Bsat約為0.35T)時,磁芯的u值/電感量開始下降。為了保證電感工作在磁芯磁化曲線的“膝部”以下,在設計時應留有充足的裕量。
推薦閱讀:





