【導讀】現代高性能處理器和SoC芯片集成度的提升,對其供電質量提出了前所未有的嚴苛要求。為確保高速串行通信接口和精密模擬前端的信號完整性,負載點電源需要將輸出電壓紋波控制在2mV以下,這一指標僅為常規設計的十分之一。面對這一挑戰,傳統的線性穩壓器已無法滿足大電流應用需求,而采用更高開關頻率并結合額外輸出電容的二級濾波器方案,則能有效突破這一技術瓶頸。不同的控制架構為實現超低紋波輸出提供了多樣化的技術路徑,每種方法都在穩定性和性能表現上展現出獨特優勢。
本期,為大家帶來的是《使用第二級濾波器來減少電壓紋波》,將對比三種控制架構在相同輸出電壓紋波下的表現,并提供了使用相同電氣規格的測試數據以及輸出電壓紋波、解決方案尺寸、負載瞬態和效率的比較結果。
引言
現代高性能處理器和SoC芯片集成度的提升,對其供電質量提出了前所未有的嚴苛要求。為確保高速串行通信接口和精密模擬前端的信號完整性,負載點電源需要將輸出電壓紋波控制在2mV以下,這一指標僅為常規設計的十分之一。面對這一挑戰,傳統的線性穩壓器已無法滿足大電流應用需求,而采用更高開關頻率并結合額外輸出電容的二級濾波器方案,則能有效突破這一技術瓶頸。不同的控制架構為實現超低紋波輸出提供了多樣化的技術路徑,每種方法都在穩定性和性能表現上展現出獨特優勢。
本文比較了實現 1mV 輸出電壓紋波的三種不同控制架構:外部補償電壓模式、恒定導通時間和可選補償電流模式,并提供了使用相同電氣規格的測試數據以及輸出電壓紋波、解決方案尺寸、負載瞬態和效率的比較結果。
選擇并約束應用程序
設計并構建了三種不同電源,以展示在類似工作條件下每種控制模式的性能。對于每種設計,輸入電壓為 12V,輸出電壓為 1V,并且每個器件的輸出電流能夠達到 15A。這些是為高性能 SoC 供電的典型要求,高性能 SoC 集成了敏感的模擬電路,需要低輸出電壓紋波。
為了約束濾波器設計和性能預期,允許的紋波電壓為輸出電壓的 ±0.15% 或 ±1.5mV (3mVpp)。我們采用三個 TI 直流/直流轉換器進行比較:15A D-CAP3? 降壓轉換器(TPS548A28)、 20A 內部補償高級電流模式 (ACM) 降壓轉換器 (TPS543B22) 和 15A 電壓模式降壓換器(TPS56121)。我們在轉換器支持類似第二級濾波器元件的能力范圍內,選擇了盡可能彼此接近的輸出電壓、輸出電流和工作頻率。
設計第二級濾波器
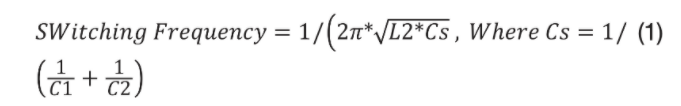
即使使用低等效串聯電阻 (ESR) 陶瓷輸出電容器,通過降壓轉換器的電感器和電容器 (LC) 輸出濾波器來實現低輸出電壓紋波也是不切實際的。要實現低于 5mV 的輸出紋波,設計人員可能需要使用第二級 LC 濾波器。有關第二級濾波器設計或紋波測量技術的更多信息,請參閱資源部分。可使用方程式 1 并求解 L2 來計算第二級濾波器的電感器值。電感器 L2 是第二級電感器,C1 是降壓轉換器的初級輸出電容器,C2 是第二級電容器網絡。所有三種設計都使用了相同的第二級濾波器(如表 1 所示),占用了 92mm2 的電路板面積(如圖 1 所示):


表 1. 轉換器控制架構和第二級濾波器

圖 1. 第二級濾波器的電路板面積為 92mm2
選擇第二級電感器值 (L2) 并組裝元件后,下一步是通過增加第二級電感和電容來重新補償直流/直流轉換器的控制環路,以確保穩定性。必須指出的是,每個控制架構都有自己獨特的技術,可在添加第二級濾波器后重新補償控制環路(如需)。我們對每個控制架構的輸出電壓紋波、效率損失和穩定性進行了評估并匯總出結果。
電壓模式控制架構
通過將輸出電壓和基準電壓的電壓誤差信號與恒定鋸齒-斜坡波形進行比較,可實現具有電壓模式控制架構的脈寬調制 (PWM)。斜坡由振蕩器發出的時鐘信號啟動。TPS56121 采用外部補償 3 類補償來尋址雙極功率級,從而允許在添加第二級濾波器后對轉換器進行重新補償。在添加第二級濾波器后調整外部電阻器和電容器值可確保穩定性。在沒有額外濾波器的情況下,輸出電壓峰峰值紋波為 4.8mV。應用額外濾波器后,輸出電壓紋波為 1.9mV(如圖 2 所示)。在這種情況下,TPS56121 設計無需調節環路補償即可確保穩定性。圖 3 顯示了具有 10A 負載階躍的負載瞬態波形,并且實施第二級濾波器后的輸出電壓波形沒有不穩定的跡象。

圖 2. 具有和不具有額外第二級濾波器的 TPS56121 輸出電壓紋波

圖 3. 使用電壓模式控制的 TPS56121 的瞬態響應
D-CAP3 控制架構
D-CAP3 使用一次性計時器生成與輸入電壓和輸出電壓成正比的導通時間脈沖。當下降反饋電壓等于基準電壓時,將生成新的 PWM 導通脈沖。斜坡由輸出電感器仿真。來自內部紋波注入電路的信號直接饋入比較器,消除了其失調電壓,從而減少了對電容器 ESR 輸出電壓紋波的需求。D-CAP3 和其他恒定導通時間轉換器的優勢之一是無需額外的環路補償電路。但是,如果器件支持此功能,并且在輸出電壓反饋電阻分壓器網絡中添加了前饋電容,則控制環路的功能可通過可調斜坡進行調整。在沒有額外濾波器的情況下,TPS548A28 輸出電壓峰峰值紋波為 7.6mV。應用額外濾波器后,輸出電壓紋波為 2.3mV(如圖 4 所示)。在此情況下,TPS548A28 設計無需進行調整即可確保穩定性。圖 5 顯示了與之前的轉換器具有相同 10A 負載階躍的負載瞬態波形,并且實施第二級濾波器后的輸出電壓波形沒有不穩定的跡象。

圖 4. 具有和不具有額外第二級濾波器的 TPS548A28 輸出電壓紋波

圖 5. 使用 D-CAP3 控制的 TPS548A28 的瞬態響應
高級電流模式 (ACM) 控制架構
內部補償 ACM 是基于紋波的峰值電流模式控制方案,它使用內部生成的斜坡來表示電感器電流。這種控制模式可在非線性控制模式(如 D-CAP3)的更快瞬態響應速度與其他外部補償固定頻率控制架構(如電壓模式控制)的廣泛電容器穩定性之間實現平衡。ACM 是一種較新的控制架構,它允許使用單個電阻器(而非電阻器和電容器網絡)對環路進行補償。TPS543B22 具有三個可選 PWM 斜坡選項,可在實施第二級濾波器時優化控制環路性能。有趣的是,我們注意到它的評估模塊在電路板上具有電容器和電感器焊盤,可方便地容納第二級濾波器元件。在沒有額外濾波器的情況下,TPS543B22 輸出電壓峰峰值紋波為 7.4mV。應用額外濾波器后,輸出電壓紋波為 1.3mV(如圖 6 所示)。TPS543B22 設計無需調整斜坡即可確保穩定性。圖 7 顯示了與之前的轉換器具有相同 10A 負載階躍的負載瞬態波形,并且實施第二級濾波器后的輸出電壓波形沒有不穩定的跡象。

圖 6. 具有和不具有額外第二級濾波器的 TPS543B22 輸出電壓紋波

圖 7. 使用 ACM 控制的 TPS543B22 的瞬態響應
效率損失
在具有和不具有額外第二級濾波器的情況下測量了每個直流/直流轉換器的滿載效率以比較功率損耗。表 2 所示為相關結果。第二級濾波器的功率損耗和效率損失可忽略不計。之所以測量效率和功率損耗差異,是因為每個直流/直流轉換器都具有獨特的功率 MOSFET,這會導致效率結論不準確。效率損失和額外所需的 92mm2 布板空間是否值得改善輸出電壓紋波,這由設計人員決定。
設計人員以前使用額外的低壓降 (LDO) 穩壓器對直流/直流轉換器的輸出電壓進行后置穩壓,并實現低輸出電壓紋波。如果設計人員更喜歡使用 LDO 而不是第二級濾波器,則可以并聯 4A TPS7A54 來提供高達 8A 的電流。例如,如果 LDO 的壓降為 175mV,則兩個 LDO 在 8A 電流下的耗散功率為 1.4W,而第二級濾波器的耗散功率為 0.02W。LDO 的輸出電壓紋波噪聲較低,為 4μV,但如果第二級濾波器為 SoC 和 AFE 提供可接受的低輸出電壓紋波,則優點是尺寸更小、功率損耗更低且元件成本更低。

表 2. 效率和功率損耗比較
結語
第二級濾波器是一種簡單、小巧、高效且低成本的解決方案,可為高電流負載設計提供低輸出電壓紋波。沒有適用于每種設計情況的完美控制模式,但可以在許多降壓轉換器控制架構中實施第二級濾波器。如果您使用網絡接口卡 SoC 或是使用 AFE 的遠程無線電單元進行設計,則第二級濾波器可提供比標準降壓轉換器低得多的紋波。表 3 總結了與每個器件相關的紋波以及效率和尺寸權衡。

表 3. 紋波、尺寸和效率權衡
本文來源于德州儀器《模擬設計期刊》。《模擬設計期刊》由德州儀器工程師和專家精心撰寫并匯編,覆蓋從基礎知識到先進技術、從數據轉換器到傳感器應用的廣泛主題,為模擬設計新手和資深用戶提供實用信息和解決方案。
推薦閱讀:




