【導讀】用金屬制造的接地電極在大地中與土壤直接接觸,而土壤是由土的顆粒與在其間隙中存在的水和空氣組成。接地就是將性質完全不同的金屬制電極與水和空氣的混合物進行可靠的電氣連接。這種電的連接必然存在電阻,這就是接地電阻。
由于土壤是由不同的土壤顆粒和其間隙中存在的水和空氣組成,再則接地體的形狀、尺寸又不一,所以接地電阻有著非常復雜的性質。
一、接地電阻的定義
接地電阻包括接地電極體本身的電阻、接地電極體與土壤間的接觸電阻、接地電極體附近的土壤電阻、接地電極體至電氣設備間連接導線的電阻四者之和。
從定量的角度描述接地電阻的定義應該是“在某一電極上流入接地電流I(A),若接地電極的電位比周圍大地高出E(V)時,其電位上升值與接地電流之比E/I(Ω)即為接地電阻”。如圖1所示。

圖1 接地電阻的定義
接地電阻的定義必須要附帶以下兩個條件。
①為了使接地電流流向接地電極,必須形成閉合回路,需要把兩根接地電極打入大地,并保持足夠的間距。當接入電源后,就會在兩個電極之間流過接地電流,把其中一根電極稱為輔助電極,如圖2所示。在定義接地電阻時,輔助電極要設置在離主接地電極十分遠的地方,使它對主接地電極帶來的影響甚微,而將其忽略。當電源取直流時,由直流電流產生的電化學現象可被忽略。

圖2 輔助電極
②接地電極的電位上升是以大地的無限遠方為基準測量的。所謂無限遠方是指即使有接地電流,電位也不變動的地點,即意味著與通電前的狀態沒有變化的地點,將該點作為電位基準點。可以從電位上升值及接地電流求出真正的接地電阻,如圖3所示。如果把測定電位的基準點靠近接地電極,基準點的電位就會因接地電流而引起(ΔV)上升,這一增量給電位上升的測定帶來誤差,進一步使接地電阻也形成誤差。

圖3 電位測定的基準點
二、接地電阻的一般性質
接地電阻由以下3個構成要素組成:
①接地線的電阻及接地電極自身的電阻;
②接地電極表面及與其接觸的土壤之間的接觸電阻;
③電極周圍大地的電阻。
如圖4所示,這3個構成要素中①是導體,電阻非常小,不成問題。但是將鋼筋混凝土基礎樁等非金屬體作為代用電極時,必須考慮接地電極自身的電阻。②的接地電阻是電極與土壤的“適應”問題。接地電極的大部分是金屬體,其表面是光滑的,而土壤是微小的固體顆粒,這兩種物質實際是接近點接觸狀態,而不是面接觸,所以在界面上有接觸電阻。此外還有靜電電容的作用,由于打入電極時電極的振動、埋設時加在電極上的壓力,還有土壤種類、接地施工的場所等影響,無法用一兩句話說清楚。從接地電阻的本質來說,還是③的影響最大。③中土壤所具有的電阻是最重要的,是電極包圍的大地的電阻,叫做大地電阻,是接地電阻的主要部分。

圖4 構成接地電阻的要素
由于通過大地電傳導的截面積非常大,因此可以認為其電阻小到可以忽略不計。當離接地電極相當遠時,電流通路的截面積變得非常大,即使土壤的導電性不良,電阻仍然很小。但是在接地電阻附近,由表面積并不太大的接地電極流出電流,電流通路的截面積被束縛,接地電阻呈現一定的電阻值。如圖5所示,接地電流從接地電極以放射形式流出,隨著遠離電極,電流通路的截面積會增大。

圖5 電流通路的截面積與電阻關系
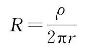
當確定了某一接地電極的形狀和尺寸,該電極的接地電阻表達式為
R=ρf (1)
式中 R——接地電阻,Ω;
ρ——大地電阻率,Ω·m;
f——電極的形狀與尺寸有關的函數。
由式(1)可知,接地電阻與大地電阻率成正比,對同一形狀、同一尺寸的接地電極,大地電阻率場合不同,其接地電阻值就不同。
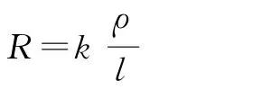
另外,函數f在電極的形狀不清楚時不能確定。在電極的形狀一定、大小如圖5所示作相似變化的場合,接地電阻可表示為

式中 k——由電極形狀確定的系數;
ρ——大地電阻率,Ω·m;
l——電極模型的特征尺寸。
l在如圖6所示是半球狀電極的半徑,代表電極邊緣模型的長度。由此,在大地電阻率一定的場合,若形狀變化,接地電阻會隨之變大變小。這在接地電極設計上是十分重要的,也是由模型電極來對接地電阻推算之際起支配作用的原理。

圖6 接地電極形狀一定而大小做相似變化的場合
三、大地電阻率
接地電極的接地電阻與施工地點的大地電阻率成一定比例。大地電阻率低的地點,易得到低的接地電阻,因而,在接地電極設計和施工時,知道施工地點的大地電阻率是非常重要的事。
①土壤水分的影響 幾乎所有的土地都會含有水分,土壤因水分的多少改變其電阻率。一般情況含水分多的土壤電阻率低,圖7表示了各種物質電阻率的排列圖。相對于金屬導體來說,土壤的電阻率還是比它們高得很多。

圖7 各物質電阻率的排列圖
當設計接地電極時,電極自身的電阻幾乎不需要考慮,因為金屬的電阻率與周圍大地相比是非常低的。大地的電阻率會隨泥土類型或組成泥土的化學成分的不同而變化。沙土的電阻率高于黏土。泥土濕度越大,導電性越好;濕度越小,導電性越小。接地電極周圍大地的電阻率會隨著一年四季和溫度的變化而變化,所以在非常干燥的地區,可能要求在接地電極處采用增加土壤濕度或其他增強土壤導電性的方法。
②土壤溫度的影響 對土壤電阻有很大影響的因素,除水分之外就是溫度。表1表示由溫度引起土壤電阻率的變化和變動的比率,溫度從20~-15℃變化的場合由表中可看出,同一土地中電阻率隨溫度可增加459倍,這是因水(含冰)的電阻率會由溫度引起敏銳的變化。
表1 土壤的溫度和電阻率

自然界的土壤電阻率因含水率和溫度等各種各樣因素的支配,在不斷變化。如隨天氣、季節而相應變化,一般是夏天低、冬天高。
對有關特定種類的土壤,要明確表示它的電阻率是有困難的,如說不出“黏土有多少Ω·m的電阻率”。這是因為相同的黏土,因地點和時間不同,電阻率是不同的,只有實地測量才是準確的。把已知長度和直徑的一根接地棒打入地下,測量它的接地電阻,電阻率值可按接地電阻公式進行逆運算得出。
表2是大地按電阻率的分類,大地電阻率超過1000Ω·m是高電阻率地帶,在這樣的場所接地施工是非常困難的。
表2 大地按電阻率分類

大地一般呈層狀結構,電阻率會因地層不同而大幅變化,因而大地電阻率多數隨深度變化。大地是非常不均質的。
四、接地電阻與靜電電容的關系
接地電阻與靜電電容間的關系是兩者的相似性,對某一已知靜電電容的電極,如果把它看作是接地電極,即可得出它的接觸電阻,兩者由同一方程式來支配。
在接地理論中,常常遇到“全空間”與“半空間”的專業術語。如圖8所示的某種介質中,圖8(a)的狀態叫全空間,圖8(b)的狀態叫半空間。而接地的問題就是半空間問題。將半球電極擴大成全空間,把全空間看作同一介質的方法叫做鏡像法。假設如圖9(a)所示為半空間場合的半球狀電極,其接地電阻為R,用鏡像法換成圖9(b)所示的全空間場合的接地電阻為R'''''''''''''''',兩者的關系是R=2R''''''''''''''''。這說明半球變成全球時,接地電流的流出面積是半球時的2倍,所以接地電阻就是原來的一半。

圖8 全空間與半空間

圖9 鏡像法
靜電場中,在介電常數ε的介質中,半徑為r的球體的靜電電容表達式為:
C=4πεr
恒流場中,在電阻率為ρ的導電性介質中,半徑為r的全球接地電阻為R'''''''''''''''',在全空間內電容C與接地電阻R''''''''''''''''的關系式為:
其中R''''''''''''''''由下式得出:

又因半空間的接地電阻R與全空間的接地電阻R''''''''''''''''有R=2R''''''''''''''''的關系,所以半球狀電極的接地電阻R為:

即半空間場合的接地電阻與全空間場合的靜電電容之間有以下對應關系:
對于復雜形狀的接地電極,只要知道附加給它鏡像時的靜電電容,就可由上式計算出接地電阻。
五、接地電阻的理論式
半球狀電極在理論上比較容易處理,它是接地理論的基礎。
半球狀電極的接地電路模型如圖10所示。假設輔助電極位于主接地電極的相對無限遠點,接地電流從電極的表面向周圍大地呈放射狀流出。如果輔助電極很近,電流的分布就不是放射狀了。

圖10 接地電極模型
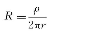
從半球狀電極(半徑r)流出的接地電流是以許多同心圓球狀散射向大地的,如圖11所示。

圖11 半球狀接地電極
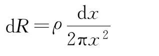
設圖中畫有斜線的部分與電極中心距離為x,厚度dx部分的電阻是dR,大地的電阻率是ρ,則有

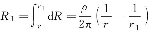
現在要求出的接地電阻是與上式所示的電阻體在從電極表面到無限遠處串聯,所以從電極的表面r到距離r1之間所包含的電阻,用dR從r到r1的積分即可求得。設此電阻為R1,即

因為接地電阻是從電極到無限遠處的全部電阻,如果r1是無限大,1/r1近似等于零。設此時電阻為R,由上式可得出

這是半球狀電極的接地電阻的理論式,該理論式說明電流通路的截面積,從圖11可看出隨著電極半徑(r)的增大,其接地電阻按1/r1成比例減少。即因截面積(2πr^2)變大而使接地電阻收斂。
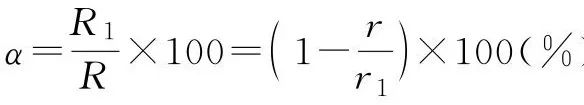
六、接地電阻的電阻區域
接地電阻的大部分是集中在接地電極的附近。假設從半球狀電極的表面到距離r1之間的電阻為R1,從表面到無限遠點的全接地電阻為R時,則R1與R之比為α

由上式,r1與α的關系如表3所示,r1用r的倍數表示。將該表圖形化如圖12所示。
表3 r1與α的關系


圖12 r1與α的關系
隨著與接地電極的距離r1增大,在全接地電阻R中,到r1所包含的R1也逐漸增大。電阻的增大趨勢開始是急劇變化,到了2倍電極半徑的距離(r1=2r)就已包含全電阻的一半,然后電阻的增大趨勢變得緩慢。嚴格地說,即使距離到無限遠還是存在電阻。包含電阻部分的地表面叫做電阻區域。如果全電阻的50%包含在電阻區域內,到2r就是電阻區域;如果全電阻的90%包含在電阻區域內,到10r就是電阻區域。
七、接地電阻理論有待提升
從接地電阻定量的定義來看,定義中存在著兩個值得思考的問題。
①電阻的最初概念是來自歐姆定律,即R=U/I。歐姆定律的適用范圍是金屬導體,而土壤并不是金屬導體。所以用歐姆定律來定義接地電阻是不適宜的。
②歐姆定律只用于電路,而土壤層不是“路”,而應該是“場”。
人們又發現,在接地系統本身,也存在著許多電磁干擾,它可以通過各種耦合途徑去影響電子系統的正常工作。于是就想到“浮地”,讓電子系統的地線在電氣上與建筑物的接地保持絕緣,這樣,建筑物接地系統中的電磁干擾不會傳遞到電子設備上去,地電位的浮動對設備也沒有影響。但是浮地又帶來新問題,如容易產生靜電積累。當雷電感應較強時,外殼和其內部電子電路間可能會出現很高的電壓,將兩者之間的絕緣擊穿,造成電子電路的損壞。
因此,減少干擾的關鍵不僅是減小接地電阻值,更重要的是設法減小系統漏向接地系統中去的電流。許多DCS、PLC產品,對接地電阻值大小的要求相差甚遠。要求高的如1Ω,要求低的只要100Ω即可,其原因就在系統的絕緣性能和漏電流上的差異。
任何一種設備中的電子部分,包括控制系統在內,對正常工作條件(包括自然環境條件、電氣工作條件以及機械工作條件)的要求越高,意味著產品本身的性能和可信性越差。
推薦閱讀:




