【導讀】本文是電子元件技術網網友原創博文《鐵路信號設備地線干擾抑制方法的研究》系列第三章,重點介紹了在PCB設計中,如何通過適當接地方法,規避地線干擾,包括地環路干擾抑制方法 、公共阻抗耦合干擾抑制方法、混合接地等內容。
《鐵路信號設備地線干擾抑制方法的研究》全文從電氣電子設備接地重要性與地線干擾形成機理入手,重點介紹電氣電子設備接地點與接地方式選擇、增加地環路阻抗、降低接地阻抗等方法,來消除公共阻抗耦合、地環路等地線干擾,實現電氣電子設備良好的電磁兼容。最后,針對鐵路現場電磁騷擾源特性與耦合方式,成功地將地線干擾抑制方法應用于某鐵路信號設備的電磁兼容設計中。
全文第一章為:EMC接地的概念與分類
全文第二章為: EMC地線干擾形成的機理
4 地線干擾抑制方法
接地抗干擾技術的主要內容,一是避開地環路電流的干擾,二為降低公共地線阻抗的耦合干擾。“一點接地”有效地避免了地環路電流干擾,而在“一點接地”前提下,并聯接地則是降低公共地線阻抗耦合干擾的有效措施。
4.1 地環路干擾抑制方法
從地環路干擾的機理可知:只要減小地環路中的電流就能減小地環路干擾,此外,防止線纜上的共模騷擾電流轉化為干擾電壓,也是解決地環路干擾的問題的效措施。
抑制地環路干擾主要方法有:平衡電路、光電隔離、磁電隔離、共模扼流圈,以及減少地線阻抗與浮地。本節將重點討論平衡電路、光耦隔離、磁電隔離、共模扼流圈在抑制地環路干擾方面的應用。
4.1.1 平衡電路
當感應的電磁干擾在回路上傳輸時,如果回路的阻抗完全對稱時,對電路不會引起干擾。但是在平衡電路中,實際的回路阻抗很難做到達到完全對稱,這種不平衡阻抗,會將傳輸線中的共模干擾轉化為差模干擾,從而對電路造成干擾,平衡電路抑制地環路共模干擾的機理如下圖所示:

圖 9 平衡電路對地環路的抑制
4.1.2 磁電隔離
磁電隔離實質上是利用變壓器實現磁電隔離的基本原理:變壓器主要由繞在共同鐵心上的兩個或多個繞組組成。當在一個繞組上加上交變電壓時,由于電磁感應而在其它繞組上感生交變電壓。因此變壓器的幾個繞組之間是通過交變磁場互相聯系的,在電路上是互相隔離的。這樣可以使用變壓器切斷設備與外部接口(含電源)之間的共模電磁干擾傳播路途,讓一定頻率的差模信號可以通過,如下圖所示:

圖 10 磁電隔離原理
為提高高頻共模電磁干擾的抑制性能,一般會在變壓器原邊、副邊間增加靜電屏蔽后,減小原邊/副邊之間的寄生電容。該屏蔽與繞組間形成新的分布電容,當將屏蔽接地后,可以將高頻干擾通過這一新的分布電容引回地,避免其對副邊電路產生干擾。
目前磁電隔離技術,已廣泛應用于電氣電子產品的開關電源、以太網端口,切斷地環路干擾的耦合途徑。
4.1.3 光電隔離
光電隔離采用光電耦合器來實現,即通過半導體發光二極管(LED)的光發射和光敏半導體(光敏電阻、光敏二極管、光敏三極管、光敏晶閘管等)的光接收,來實現信號的傳遞。由于發光二極管和光敏半導體是互相絕緣的,從而實現了電路的隔離,如下圖所示:

圖 11 光電隔離
4.1.4 繼電器隔離
電磁繼電器隔離一般由鐵芯、線圈、銜鐵、觸點簧片等組成。只要在線圈兩端加上一定的電壓,線圈中就會流過一定的電流,從而產生的電磁效應,銜鐵就會在電磁吸引力的作用下克服返回彈簧的拉力吸向鐵芯,從而帶動銜鐵的動觸點與靜觸點(常開觸點)吸合。當線圈斷電后,電磁的吸力也隨之消失,銜鐵就會在彈簧的反作用力的作用下返回原來的位置,使動觸點與原來的靜觸點(常閉觸點)吸合。這樣的吸合、釋放。
繼電路實際上是一種電子控制器件,它具有控制系統(又稱輸入回路)和被控制系統(又稱輸出回路),通常應用于自動控制電路中,利用較小的電流去控制較大的電流的一種“自動開關”,在電路中起著自動調節、安全保護、轉換電路等作用。
繼電器的線圈和觸點之間沒有電氣上的聯系。因此,可以利用繼電器的線圈接受電氣信號,而用觸點發送和輸出信號,從而在低頻時,避免強電和弱電信號之間的直接聯系,實現了輸入與輸出的電氣隔離,如下圖所示:

圖 12 繼電器隔離
4.1.4共模扼流圈隔離
[page]
共模扼流圈并非像隔離變壓器、光電耦合器、電磁繼電器那樣屬于隔離器件,這些器件中被隔離的兩端,通過磁、光、機械進行信號的傳輸,但是共模扼流圈在電磁兼容領域的應用時,主要是為了讓共模電感像隔離器件那樣將共模干擾隔離在共模扼流圈輸入/輸出的兩端,因此,在EMC領域,一般也將共模扼流圈與隔離變壓器、光電耦合器、電磁繼電器一樣,用為隔離器件。
共模扼流圈由鐵氧體磁芯、線圈La、 Lb,以及固定架組成,兩個線圈繞在同一鐵芯上,匝數和相位都相同(繞制反向),如下圖所示:

圖 13 共模扼流圈高頻隔離
這樣,當電路中的正常電流流經共模電感時,電流在同相位繞制的電感線圈中產生反向的磁場而相互抵消,此時正常信號電流主要受線圈電阻的影響(少量因漏感造成的阻尼);當有共模電流流經線圈時,由于共模電流的同向性,會在線圈內產生同向的磁場而增大線圈的感抗,使線圈表現為高阻抗,產生較強的阻尼效果,以此衰減共模電流,達到濾波的目的。
4.2 公共阻抗耦合干擾抑制方法
消除公共阻抗耦合的途徑或方法有兩個:一是減小“公共地”地線部分的阻抗,這樣公共地線上的電壓也隨之減小,從而控制公共阻抗耦合。另一個是通過適當的接地方式避免容易相互干擾的電路共用地線,一般要避免強電電路、弱電電路共用地線,數字電路和模擬電路共用地線。
減少“公共地”地線阻抗核心問題是減小地線的電感,包括使用扁平導體做地線、用多條相距較遠的并聯導線做接地線。
對于印制電路板而言,在雙層板上布地線網絡能夠有效地減小地線阻抗,在多層板上專門用一層做地平面。但是通過選擇適當的接地方式也可有效的消除公共阻抗的耦合干擾。
電氣電子設備的接地方法主要有:單點接地、多點接地、混合接地、浮地。一般會根據電路類型、系統工作頻率、工作電流等選擇一個合適的接地方法,來抑制或減小共地阻抗干擾。
4.2.1 單點接地
單點接地是指在一個線路中,只有一個物理點被定義為接地參考點,其它各個需要接地的點都直接接到這一點上。單點接地又分為串聯單點接地和并聯單點接地。
(1)串聯單點接地

圖 14 串聯單點接地
串聯單點接地如上圖所示,
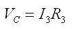
A點的電位:
B點的電位:
C點的電位:
由 A、B、C 三點的電位表達式可看出各點之間的電位將互相影響,若各電路的電平相差不大,這種接地方式可以使用,如各電路之間的電平相差較大則不能使用。假如電路 1 是高電平電路,而電路 3 是低電平電路,那么由C點的電位計算公式可知:電路 1 將嚴重干擾到電路 3 的工作。
但是這種接地方法比較簡單,使用的仍然很多。須要注意的是,在使用這種接地方式抑制公共阻抗耦合干擾時,應注意串聯的次序,最怕干擾的電路的地應接在A點,而最不怕干擾的電路的地應接在C點。
錯誤的串聯單點接地如下圖所示:

圖 15 錯誤的串聯單點接地設計
在上圖中,將系統的接地點選擇在運算放大器的輸入側,公共阻抗耦合干擾,疊加在運算放大器的輸入端了,如果Z1很大,或流過該阻抗的電流較大,運算放大器輸入端的疊加干擾可能很好,導致錯誤的輸出結果。
如果將接地點放在運算放大器的輸出側,則可完全避免公共阻抗耦合干擾,使運算放大器的輸入端不受地線電流的影響,如下圖所示:

圖 16 正確的接地設計
(2)并聯單點接地
[page]
并聯單點接地采取所有器件的地直接接到地匯接地點,不共用接地總線,各電路的地電位只與本電路的地電流及地線阻抗有關,不受其它電路影響,這樣接地方式可以消除公共阻抗耦合干擾。
并聯單點接地方式如下圖所示:

圖 17 并聯單點接地
其中,
由上述電位計算公式可知,各點之間的電位只與本電路的地電流及地線阻抗有關,因此在低頻時各電路之間不存在共阻抗耦合的地線干擾,因此,在電氣電子設備低頻工作時,盡量采用這種方式接地。只是當電路數量較多時,這種接地方式需要的地線較多,用起來比較笨重。
(3)混合單點接地
串聯單點接地容易產生公共阻抗耦合的問題,解決的方法是采用并聯單點接地,但是并聯單點接地往往由于地線過多,而沒有實施的可能性。
因此,實際情況中可以靈活采用這兩種單點接地方式的組合,即混合單點接地方式。
混合單點接地方式中,是將電路按照干擾特性分組,相互之間容易發生干擾的電路放在不同的組,相互之間不易發生干擾的電路放在同一組,一組內的電路采用串聯單點接地,不同組的電路采用并聯單點接地。
混合單點接地方式,如下圖所示:

圖 18 串聯單點和并聯單點混合接地
這種接地方法避免公共阻抗耦合干擾的關鍵是:避免使功率相差很大的電路或噪聲電平相差很大的電路共用一段地線。這種接地方式,既解決了公共阻抗耦合的問題,又避免了地線過多的問題。
但是這種方式只適用于低頻,不能用于高頻。因為根據傳輸線理論,當地線的長度接近信號波長的1/4時,它就相當于一根終端短路的傳輸線,不僅起不到接地作用,還會有很強的天線效應,向外輻射干擾信號。
總的來說,單點接地適用于較低的頻率范圍,或者地線長度不超過信號波長的 1/20。
4.2.2 多點接地
多點接地,是指系統中各個接地點都接到距它最近的地平面上,以使接地線最短。這種方式由于地線較短,適用于高頻電路。高頻信號電路在接地阻抗上起主導作用的是電感,為了降低地線阻抗,在高頻端都使用多點接地方式。
但多點接地方式可會形成各種地環路干擾,如下圖所示:

圖 19 多點接地
如上圖可知,每電路對地電位為:
其中, 為地線等效電阻; 為地線等效電感, 是電路的地電流。
由上述公式可知,為了降低電路的地電位,每個電路的地線應盡可能短而粗,以便降低地線阻抗。
但在高頻時,由于趨膚效應,高頻電流只流經導體表面,此時要降低地線阻抗,通常采取地線排鍍銀的方式。
多點接地的優點是電路結構比單點接地簡單,可應用于頻率大于或等于10MHZ的高頻電路,施工時接地連接比單點接地易實現,而且高頻下駐波效應可減至最小。
然而,多點接地將會使相距較遠的參考地未隔離、兩個互連通信設備之間出現多個地線回路,通過地線回路將可能對低電平電路產生干擾,形成地環路干擾,對電氣電子設備的正常運行造成不良影響。
目前多點接地方法主要用于如下場合:
(1)高速印制線路板的接地設計:一般在印制線路板中定義一個完整的參考地平面,為了保持地平面的低阻抗特性,盡可能的不對地平面分割或減小過孔的數量。
(2)相距較遠的電氣電子設備之間互連信號線通過光電、磁電、繼電器等隔離方法,切斷其地環路干擾耦合途徑或增大其地環路的阻抗等。
(3)盡可能地減小電氣電子設備之間的地電位差,譬如通過多股銅線或扁平銅板將設備各個接地點相連。
否則,應用多點接地方法不但不能消除地線干擾,還可能導致電氣電子設備的運行不穩定或抗干擾性能差。
4.2.3 浮地
[page]
對于電子產品而言,浮地是指設備的地線在電氣上與參考地及其他導體相絕緣。浮地的目的是將電路與公共接地系統,或可能引起環流的公共導線隔離開,此外,浮地還可以使不同電位之間的電路配合變得容易
實現電路或設備浮地的方法主要有變壓器隔離和光電隔離兩種。
浮地的最大優點是抗干擾性能好,而缺點是由于不與公共地相連,容易在兩者之間造成靜電積累,當電荷積累到一定程度后,可能會引起劇烈的靜電放電,而成為破壞性很強的干擾源。
一個折中的方案是在浮地與公共地之間跨接一個阻值很大的泄放電阻,用以釋放所積累的電荷。
4.4 混合接地
混合接地是在單點接地的基礎上再通過一些電感或電容多點接地,使用電感或電容,使接地系統在低頻和高頻時呈現不同的特性,這在寬帶敏感電路中是很有必要的?;旌辖拥丶劝藛吸c接地的特性,也包含了多點接地的特性。
電容對低頻和直流有較高的阻抗,因此能夠避免兩個模塊之間的地環路形式。當將直流地和射頻地分開時,將每個子系統的直流地通過 10~100nF的電容器接到射頻地上,這兩種地應在一點有低阻抗連接起來,連接點應選在最高翻轉速度di/dt信號存在的點。
工頻頻率介于1~30MHZ的電路采用混合接地方式,當接地線的長度小于工作信號波長的1/20時,采用單點接地方式,否則采用多點接地式,混合接地如下圖所示:

圖 20 混合接地
4.5 接地選用原則
在抑制共阻抗耦合的地線干擾中,無論是單點接地,還是多點接地,都存在一定的優缺點,需要根據具體情況決定。一般按下列準則選取:
(1)對于低頻(<1MHz),且地線長度較短的情況(<λ/20),選用單點接地方式。
(2)對于低頻(>1MHz),且地線長度較長的情況(>λ/20),選用多點接地方式。
(3)對于頻率介于 1MHz~10MHz 之間,且地線長度與λ/20 相當的情況,選用單點和多點混合地方式。
(4)對于頻率>10MHz 的情況,采用多點接地方式。
相關閱讀:
EMC地線干擾形成的機理
EMC接地的概念與分類
高速印制電路板的EMC設計
三方面有效控制EMC



