【導讀】在經過了前三章的學習之后,接下來就要學習開關電源設計中的重點也是難點的變壓器的設計。變壓器參數是否合適對整個電源的效率、紋波、輻射等方面有重要影響,作者通過自己的實際經驗所得的變壓器的設計方法又有什么獨特之處呢?一起來學習吧!
5.5變壓器的設計
變壓器是開關電源設計中的難點和重點,變壓器參數是否合適對整個電源的效率、紋波、輻射等方面有重要影響。反激式變換器的變壓器實際是一個耦合電感,它傳遞的是電流信號,因此匝比和輸出電壓沒有直接關系,但是匝比會影響初級開關管和次級輸出二極管的電壓電流應力。
如果不考慮漏感尖峰電壓,那么關斷期間開關管承受的最大電壓等于輸入最大直流電壓加上次級反射電壓,輸出電壓一定時,變壓器匝比越大,反射電壓越高。另一方面,開關閉合導通期間,次級輸出二極管承受的反向電壓為初級反射電壓加上輸出電壓,變壓器匝比越大,初級反射電壓越高,二極管承受的反向電壓也就越高。所以匝比的選取需要綜合考慮開關管和輸出二極管的電壓應力。
5.5.1確定最大占空比
在實際應用中,初級開關管的耐壓通常是比較固定的,而次級輸出二極管的選擇則可以比較靈活,所以我們在下面的設計過程中從開關管的電壓應力這一角度考慮。考慮輸入電壓最小時,對應最大的占空比,從第二節占空比的關系式可以得出次級反射電壓與占空比存在如下關系:

前面提到過,一般限定最大占空比不超過0.5,在這里我們取0.45(這是計算時最常用的值)的話,得到圖七所示電路中初級反射電壓為:

不考慮漏感尖峰時開關管的電壓應力為:

圖六所示電路中RM6203內部開關管的耐壓為700V,所以余量是比較充足的。通常情況下,我們為開關管的耐壓流出20%左右的余量,例如耐壓600V的開關管,一般將電壓應力控制在480V左右。留有的余量過小,將會導致尖峰抑制電路的設計變得非常困難。如果求出的電壓應力過大,就應該通過減小最大占空比重新計算。
往期精彩回顧:
大牛獨創:反激式開關電源設計方法及參數計算
大牛獨創(二):反激式開關電源設計方法及參數計算
大牛獨創(三):反激式開關電源設計方法及參數計算
[page]
5.5.2確定變壓器初級電感量
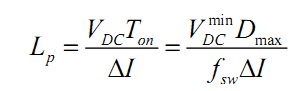
前面提到,反激式變換器的變壓器可以看做是耦合電感,初級電感量是變壓器最為重要的參數之一,它直接影響電流紋波和變換器的工作模式。根據第一節的關系式,初級電感量滿足如下關系:

其中fsw為開關頻率。而電感中變化的電流與電感平均電流之間有如下關系:

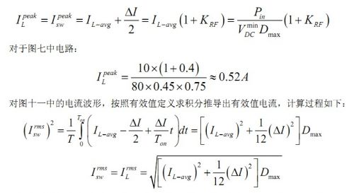
圖十一:初級電感電流波形圖
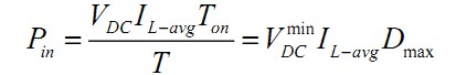
如圖十一重新給出初級電感電流波形,如果一個周期中開關閉合期間,全部輸入能量存儲在初級電感中,那么輸入功率可以按如下關系求得:

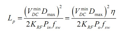
由上面三個式子綜合得出初級電感量可以通過如下關系式求得:

前面提到過,對于最大輸出功率時對應連續工作模式的反激式變換器,KRF取在0到1之間,而在實際應用中,對于85-265VAC輸入的應用,KRF通常在0.3-0.6之間選取,取值越大,電流紋波越大。
[page]
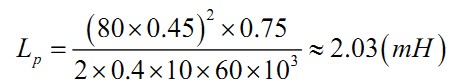
仍然以圖七中電路為例,取KRF=0.4,計算得到初級電感量如下:

其中RM6203的開關頻率為60KHz。
5.5.3確定磁芯體積
磁芯的選取應同時考慮磁芯截面積Ae和磁芯的窗口面積Aw,常用的經驗公式如下(摘自飛兆半導體《采用FPS的反激式隔離AC-DC開關電源設計指南》):

上式中,Bmax為磁芯最大磁通密度,必須小于飽和磁通密度,對于一般的鐵氧體磁芯,飽和磁通密度在0.39T左右,這里選取最大磁通密度Bmax為0.3T-0.35T之間。式中用到了開關管的峰值電流和有效值電流兩個參數,在離線式反激式變換器中,開關管電流波形和初級電感電流波形一致,因此,這兩個參數也就是初級電感峰值電流和有效值電流。
從圖十一中可以看出,初級電感峰值電流由下式求得:

需要注意的是,根據上述計算得到的Ap值只是一個起點,實際選取磁芯的Ap值一般會比這個值大,甚至大很多。在工程應用中,輸出功率和開關頻率確定的情況下,相應的磁芯體積也就大致確定了。圖七所示電路中的變壓器實際使用了EE20型磁芯,Ae=39mm2,Aw=63mm2,Ap=39*63=2457mm4。
[page]
5.5.4確定匝比和初次級匝數
磁芯選定后,根據第4節的關系式,我們知道,當電感量、磁芯面積和電流一定時,匝數越多,磁芯的磁通密度越小。初級繞組在峰值電流處達到最大的磁通密度,因此可以求出初級線圈所需的最少匝數,計算關系式如下:

Bmax為磁芯工作時的最大磁通密度,為了防止磁芯飽和,Bmax必須小于飽和磁通密度Bsat。對于常用的功率鐵氧體,飽和磁通密度一般為0.35-0.39T。Bmax的取值越小,磁芯損耗也越小。具體計算過程中應注意單位,其中L的單位為H,Bmax單位為T,Ae單位為m2。
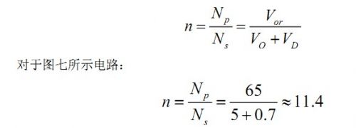
對圖七所示電路,取Bmax為0.28T,計算初級繞組線圈匝數為:

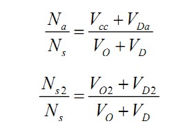
在5.5.1中,通過設定最大占空比求得了次級反射電壓Vor,由于次級反射電壓和次級電感電壓服從匝比關系,因此匝比由以下公式計算:

實際應用中,取整數值11或者12。二極管的正向壓降VD根據二極管的類型選取,對于反向耐壓40V以內的肖特基二極管,取0.5V;對于反向耐壓大于40V的肖特基二極管,取0.7V-1V;對于快恢復二極管,取1V-1.5V。
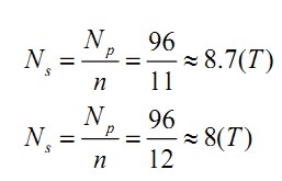
初級繞組匝數和匝比確定后,就可以算出次級繞組匝數,對圖七所示電路,取匝比11和12時分別有:

果選取匝比11,得到的次級繞組匝數不為整,此時可以適當增加初級繞組匝數,例如將初級增加到99T時,次級可以取9T。下面我們仍然按照匝比12來計算。
[page]
得到了初級和次級匝數后,需要進一步求得輔助供電繞組的匝數。如果次級不止一組,還要求出次級其它繞組的匝數。開關管關斷期間,所有的次級繞組電壓服從匝比關系,假設輔助供電繞組匝數為Na,另有一組次級匝數Ns2,則有如下關系式:

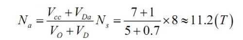
由上面的關系式可以得出輔助供電繞組和其它次級繞組的匝數。其中Vcc為控制IC的供電電壓,VO2為另一繞組的輸出電壓,VDa和VD2分別為輔助供電繞組和另一組次級繞組的輸出二極管正向壓降。一般情況下,輔助供電繞組的電流很小,相應的輸出二極管要求不高,通常使用1N4148之類的小信號高速開關二極管。圖七所示電路中,RM6203的工作電壓范圍為4.8V-9V,取7V得到輔助供電繞組匝數為:

取整數11T。
5.5.5估算氣隙長度
由于鐵氧體材料的相對磁導率很高,當線圈中通入較小的電流時,就能在磁芯中產生很大的磁通密度,使磁芯迅速進入飽和。為了防止磁芯飽和,必須限制磁芯中的磁通密度擺幅,最常用的方法就是在磁芯中增加氣隙。由于空氣或者非導磁材料的相對磁導率很低,因此長度很短(零點幾毫米到幾毫米)的氣隙就能使得磁阻大大增加,從而使得磁通密度大大減小,有效防止大電流情況下磁芯飽和。

圖十二給出了增加了氣隙時和沒有增加氣隙時的B/H曲線。圖中實線為沒有加氣隙的鐵氧體磁芯磁滯回線,虛線為加有氣隙的磁滯回線。顯然,加有氣隙后,盡管磁芯的飽和磁通密度沒有改變,但是磁滯回線的斜率大大減小了(相當于相對磁導率降低)。也就是說,同樣的電流激勵下,增加氣隙后的磁芯磁通密度擺幅大大減小,從而磁芯可以承受比沒有氣隙時大得多的電流偏置。
[page]
反激式變換器的設計中,提前估算出氣隙的長度是很重要的,這樣在試制變壓器的過程中能夠做到心中有數。對于給出的計算公式,多數工程人員沒有理解其來源,如果一味搬用,在選取各參數的單位時,容易出現困惑。下面根據磁學基本知識推出氣隙長度的估算方法:


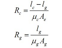
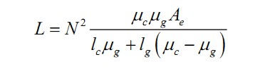
其中lc和lg分別表示磁芯材料磁阻長度和氣隙的長度,μc和μg分別表示磁芯材料的磁導率和氣隙的磁導率,Ae和Ag分別表示磁芯材料的截面積和氣隙截面積。如果氣隙只加在中柱,那么Ae和Ag是相等的,等于磁芯材料的中柱截面積。
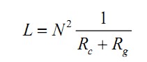
從上面三式可以整理得出電感量的計算公式如下:

由于氣隙一般為空氣或者非導磁材料,所以氣隙磁導率非常接近真空磁導率并且遠小于磁芯材料的磁導率,那么上式中可以忽略分母中第一項,并且將分子部分的μc和分母部分的(μc-μg)約去,最后得到如下形式:

[page]
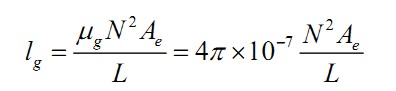
最后將氣隙的磁導率取成真空中的磁導率,就得到如下的氣隙長度就算公式:

為了避免出現單位上的混亂,上式一律采用國際單位制,Ae單位為m2,L的單位為H,最后得到lg的單位為m。在反激式變換器的計算中,L即初級電感量。
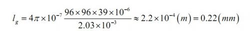
下面以圖七所示電路為例:

根據得到的氣隙長度,在試制變壓器的過程中,有兩種方法來實現這個氣隙,一種方法是將磁芯的中柱磨掉一部分,磨掉的長度大約等于計算得到的氣隙長度。由于計算誤差和測量的誤差,設計操作時,采用邊磨邊測電感量的方法,直到測得的初級電感量在一定誤差內接近計算得到的電感量為止。另一種方法是墊氣隙,即在磁芯的中柱和邊柱中間墊上非導磁薄膜材料,例如云母片、塑料片等,此時由于實際的氣隙長度等于中柱的氣隙長度加上邊柱的氣隙長度,所以薄膜的厚度約等于計算得到氣隙長度的二分之一。同樣,墊氣隙時僅以計算得到的氣隙長度作為參考,邊墊邊測直到初級電感量滿足要求。
至此,變壓器磁學部分的計算完畢,關于繞組線徑的選取,將在下面的小節中討論。
相關閱讀:
PCB布局該這么做!150W LED驅動電源拆解學習
http://www.tiangongcn.com/power-art/80021947
大盤點:詳解五種開關電源PWM反饋控制模式
http://www.tiangongcn.com/power-art/80021961
盤點:幾種LED驅動方式對比及LED驅動電源的選擇
http://www.tiangongcn.com/power-art/80021913





