2-1-21.開關變壓器的分布電容
開關變壓器初、次級線圈的分布電容,對開關電源性能指標的影響也很重要,它會與變壓器線圈的漏感組成振蕩回路產生振蕩。當輸入脈沖電壓的上升或下降率大于振蕩波形的上升或下降率的時候,振蕩回路就吸收能量,使輸入脈沖波形的前、后沿都變差;而當輸入脈沖電壓的上升或下降率小于振蕩波形的上升或下降率的時候,振蕩回路就會釋放能量,使電路產生振蕩。如果振蕩回路的品質因數比較高,電路就會產生寄生振蕩,并產生EMI干擾。
另外,開關電源電壓輸入回路的濾波電感,其分布電容的大小對EMC指標的影響非常大,因此在這里也需要對濾波電感線圈的分布電容構成以及原理有充分的理解。從原理上來說,濾波電感線圈的分布電容與開關變壓器線圈的分布電容基本上是沒有根本區別的,因此,對變壓器線圈分布電容的分析與計算方法,對濾波電感線圈同樣有效。
開關變壓器初、次級線圈的分布電容與結構有關,因此,要精確計算不同結構的開關變壓器初、次級線圈的分布電容難度比較大。下面我們先以最簡單的雙層線圈結構的開關變壓器為例,計算它們的初級或次級線圈的分布電容。
圖2-42是分析計算開關變壓器線圈之間分布電容的原理圖。

設圓柱形兩層線圈之間的距離為d,高度為h,平均周長為g 。假定兩層線圈之間沿高度的電位差為線性變化,即:

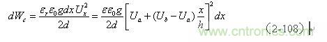
設兩個線圈相對應的兩表層間的電場近似均勻分布,即近似平板電容器的電場,那么,根據(2-107)式就可以求得該電場貯存的能量為:

式中:
為介質的相對介電常數,它是一個沒有單位的常數;
為真空中的介電常數,它是一個有單位系數,
[ F/m];g為兩層線圈之間的平均周長。
對(2-108)式從邊界0至h進行積分,即可求得兩層線圈之間存儲的能量。

由此可以求得變壓器初級或次級兩層線圈之間分布電容的表達式:


[page]
對于圖2-43-a,可求得變壓器初級或次級兩層線圈之間的分布電容為:


對于圖2-43-b,可求得變壓器初級或次級兩層線圈之間的分布電容為:

由此可知,變壓器初級或次級兩層線圈之間的分布電容,除了與變壓器線圈的高度、周長、兩層線圈之間的距離等參數相關外,還與兩層線圈之間的電位差有關。
為了更好地對多層線圈的分布電容進一步進行分析,我們把(2-109)式改寫成一個靜態電容與一個動態系數相乘的形式,即:


當變壓器的線圈為多層時,我們只需反復利用(2-112)式來對相鄰兩層之間的分布電容獨立進行計算,然后把結果相加即可。如果一定要寫出計算多層線圈分布電容的表達式,則變壓器多層線圈的分布電容可表示為:

式中,
為第
層與
+1層線圈之間的靜態電容,
= 1、2、3、• • •、n ,n為所求總分布電容的變壓器初級線圈或次級線圈的層數;
為第
層與
+1層線圈之間的平均周長;
為第
層與
+1層線圈之間分布電容的動態系數;
為第
層與
+1層線圈之間的標準電位差,其值一般等于相鄰兩層線圈工作電壓之和,即:
,U為變壓器初級線圈或次級線圈兩端的工作電壓;
分別為第
層與
+1層線圈之間
處對應的電位差;對于如圖2-43-a線圈接法,
;對于如圖2-43-b線圈接法,
開關變壓器初級線圈的層數很少超過4層的,因此,我們在這里分別列出三層、四層初級線圈分布電容的計算結果。為了計算簡單,我們假設三層線圈的匝數以及工作電壓均相等,三層線圈的平均周長
用中間一層線圈的周長來代替,即用第二層線圈的周長g2 代之;三層線圈的層間距離均相等,均等于d。同理,對于四層線圈的條件也基本相同,但線圈平均周長
用第二、第三層線圈的平均周長
來代替。
三層初級線圈總分布電容為:

上式中,CS為三層初級線圈總分布電容;g2為第二層線圈的周長;
為介質的相對介電常數,對于一般膠帶絕緣材料來說, 約等于2~3;
為真空中的介電常數;h為線圈平均高度;d為線圈的層間平均距離。
同理,可求得四層初級線圈總分布電容為:

由此可以知道,變壓器線圈的總分布電容的大小主要與線圈的層數(n-1)成正比,與層間的距離d成反比,并且與變壓器線圈的連接方法還有關。
[page]
因此,我們不能把各層之間的分布電容當成普通電容的概念來理解。普通電容互相串聯時,總電容的容量,總是小于其中任意一個電容的容量;而變壓器線圈的層間分布電容看起來是屬于串聯,但其結果是越串連越大。這是為什么呢?這是因為變壓器線圈層間分布電容的電壓主要不是靠串聯回路來充電的,而是靠線圈之間互相感應產生的電壓進行充電的。
不但如此,變壓器次級線圈的分布電容同樣也要感應到初級線圈來。大多數場合,在考慮變壓器線圈總的分布電容的時候,一般都需要把初、次級線圈的分布電容一起來考慮。例如,電視機的高壓包,其次級線圈繞組的分布電容一般都很大,折算到初級線圈后,初級線圈總的分布電容就更大,一般可達好幾千微微法,如不采取分段繞線措施,最大可達好幾萬微微法。
順便說明,以上計算線圈層間分布電容的方法并沒有把單層線圈分布電容的計算方法包括在其中,當需要計算單層線圈的分布電容時,同樣可以用計算多層線圈分布電容的(2-113)公式。不過(2-113)公式中的參數需要改一改,把層的高度h改成導線的直徑
;把層間的距離d改成兩匝線圈之間的距離,層間工作電壓Ui兩匝線圈之間的工作電壓Ud線圈的周長g基本不變。單層線圈的電場方向與多層線圈的電場方向正好正交,所以它們的能量不能疊加。
直接對變壓器線圈的總分布電容進行測試是有些困難的,但可以測試每層線圈之間的靜態電容,方法是要把圖2-43中線圈層與層之間的連線斷開;然后把測量結果乘以一個動態系數,即得到本層的分布電容,最后把各層的分布電容全部相加即可得到總分布電容。
如果不考慮變壓器次級線圈對初級線圈的影響,對于一個功率大約為100瓦的開關變壓器,其初級線圈的分布電容大約在100~2000微微法之間;如果把次級線圈的分別電容也考慮進去,總的分布電容可能要大一倍左右,因為初、次級線圈分布電容的轉換比是平方的關系。因此,分布電容對輸出波形的影響也是很大的。
為了減少變壓器線圈的分布電容,特別是EMC濾波器線圈的分布電容,最好不要把線圈分成多層疊繞,而是把線圈分段來繞,這樣可以降低(2-114)式或(2-115)式中每層線圈的高度h,從而可以減小線圈總的分布電容。
PS:馬上過年羅,年后將繼續為大家帶來陶老師的精彩內容,祝大家馬年馬到成功哦~
相關閱讀:
【連載】陶顯芳老師談開關變壓器的工作原理與設計
線圈電感量的計算及幾種典型電感介紹
http://www.tiangongcn.com/power-art/80022174
開關變壓器的漏感工作原理及計算
http://www.tiangongcn.com/power-art/80022173
開關變壓器鐵芯脈沖導磁率與平均導磁率的測量
http://www.tiangongcn.com/power-art/80022172
雙激式開關變壓器鐵芯磁滯損耗、渦流損耗的測量
http://www.tiangongcn.com/power-art/80022171
單激式開關變壓器鐵芯磁滯損耗、渦流損耗的測量
http://www.tiangongcn.com/power-art/80022170
開關變壓器渦流損耗分析及鐵芯氣隙的選取
http://www.tiangongcn.com/power-art/80022166
開關變壓器磁滯損耗分析及鐵芯磁滯回線測量
http://www.tiangongcn.com/power-art/80022164
雙激式的相關參數計算以及設計時存在的風險評估
http://www.tiangongcn.com/power-art/80022163
開關變壓器鐵芯導磁率及初始化曲線介紹
http://www.tiangongcn.com/power-art/80022154
開關變壓器的工作原理及脈沖對鐵芯的磁化
http://www.tiangongcn.com/power-art/80022153



