【導讀】同步檢波器能夠用于各種物理量的測量,比如說高噪聲電平下的應變,極小的電阻,或者明亮背景下的反射量或光吸收,同時還可提取噪底內的小信號。本文主要講解同步檢波器如何助力精密低電平測量。
在很多系統中,隨著頻率趨近于零,噪聲會不斷增加。例如,運算放大器具有1/f 噪聲,而光學測量易受因環境光條件變化而產生的噪聲影響。在遠離低頻噪聲處進行的測量可提高信噪比,從而可檢測到較弱信號。例如,將光源調制到幾千赫茲有助于測量原本會淹沒在噪底內的反射光。圖1 顯示了調制技術如何恢復原本低于噪底的信號。

圖1. 通過調制使信號遠離噪聲源
調制激勵信號的方法有多種。最簡單的方法是重復打開、關閉。在驅動LED、為應變計電橋供電的電壓源和其他類型激勵時,這種方法很有效。而對于光譜儀器上使用的白熾燈泡和其他不易開關的激勵源,可通過使用機械快門截斷光線來實現調制。
窄帶帶通濾波器可濾除目標頻率以外的所有其他頻率,使原始信號得以恢復,但使用分立元器件設計所需的濾波器可能很難。另一種方法是考慮使用同步解調器,該器件可將調制信號恢復至直流,同時抑制與參考信號不同步的各信號。運用這種技術的設備稱為鎖定放大器。
圖2 顯示了一個簡單的鎖定放大器應用。用一個調制為1 kHz 的光源照射測試表面。再由光電二極管測量測試表面反射的光線,其強度與表面的污染程度成比例。參考信號和測量信號都是正弦波,并且頻率和相位相同,但幅度不同。驅動光電二極管的參考信號具有固定幅度,而測量信號的幅度會隨反射光量而變化。

圖2. 使用鎖定放大器測量表面污染程度
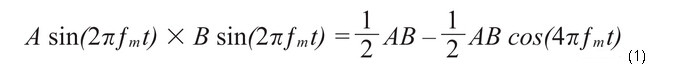
兩個正弦波相乘所得的結果是一個具有和頻與差頻形式頻率分量的信號。這里,兩個正弦波具有相同的頻率,因此結果是一個直流信號和一個兩倍于原始頻率的信號。負號表示它具有180°的相移。低通濾波器會濾除信號中直流分量以外的所有分量。

考慮有噪輸入信號時,運用這種技術的優勢將變得非常明顯。相乘只會使調制頻率的信號移回直流,所有其他頻率分量則移至其他非零頻率。圖3 顯示了一個具有50 Hz 和2.5 kHz 高噪聲源的系統。微弱的目標信號采用1 kHz 正弦波進行調制。輸入信號與參考信號相乘所得到的是一個直流信號,以及頻率為950 Hz、1050 Hz、1.5 kHz、2 kHz 和3.5 kHz 的其他信號。直流信號包含所需的信息,因此可使用低通濾波器濾除其他頻率。

圖3. 同步解調在有50 Hz和2.5 kHz強噪聲源的情況下拾取1 kHz弱信號
接近目標信號的任何噪聲分量均會出現在接近直流的頻率上,因此必須選擇附近沒有強噪聲源的調制頻率,這點非常重要。如果無法做到這一點,則需要使用截止頻率極低且響應敏銳的低通濾波器,但代價是建立時間較長。
[page]
實用鎖定實現方案
生成正弦波來調制信號源可能不切實際,因此有些系統會改用方波。生成方波激勵要比生成正弦波簡單得多,使用簡單的裝置(諸如可切換模擬開關或MOSFET 的微控制器引腳)即可實現。
圖4 顯示了一種實現鎖定放大器的簡單方法。由微控制器或其他器件生成促使傳感器作出響應的方波激勵。第一個放大器是跨導放大器(用于光電二極管)或儀表放大器(用于應變計)。
用于激勵傳感器的信號還用于控制ADG619 SPDT 開關。當激勵信號為正時,放大器配置為增益+1。當激勵信號為負時,放大器配置為增益-1。這在數學上相當于將測量信號乘以參考方波。輸出RC 濾波器會濾除任何其他頻率的信號,因此輸出電壓是直流信號,大小等于測量方波的峰峰值電壓的一半。

圖4. 使用方波激勵的鎖定放大器
雖然電路比較簡單,但選擇正確的運算放大器非常重要。交流耦合輸入級可濾除大部分的低頻輸入噪聲,但不會濾除1/f 噪聲和最后一個放大器產生的失調誤差。ADA4077-1 精密放大器在0.1 Hz到10 Hz 范圍內具有250 nV p-p 噪聲以及0.55 μV/ °C的失調漂移,因此非常適合此應用。
基于方波的鎖定放大器比較簡單,但其噪聲抑制性能及不上使用正弦波的鎖定放大器。圖5 顯示了方波激勵和參考信號的頻域表示。方波由基波和所有奇次諧波的正弦波無窮和構成。將兩個同頻方波相乘需要將參考信號的每個正弦分量乘以測量信號的每個正弦分量。所得到的是包含方波的每個諧波能量的直流信號。奇次諧波頻率下出現的干擾信號不會被濾除,不過會有所減弱,具體取決于其所處的諧波。因此,選擇調制頻率時應確保其諧波不是任何已知噪聲源的頻率或諧波,這點非常重要。例如,要抑制線路噪聲,應選擇1.0375 kHz 的調制頻率(不會與50 Hz 或60 Hz的諧波重合),而不是使用1 kHz(這是50 Hz 的第20 個諧波)。
盡管有此缺點,但該電路簡單、成本低。與嘗試進行直流測量相比,使用低噪聲放大器并選擇合適的調制頻率仍然可帶來大幅改進。

圖5. 如果輸入信號(A)和參考信號(B)都是方波,則將它們相乘(C)可有效解調輸入信號的每個諧波。
簡單的集成替代方案
圖4 中的電路需要一個運算放大器、一個開關和一些分立元器件,另外還需要微處理器提供參考時鐘。一種替代方案是使用集成式同步解調器,如圖6 所示。ADA2200 包含緩沖輸入、可編程IIR濾波器、乘法器和可將參考信號偏移90°的模塊,可輕松測量或補償參考時鐘和輸入信號之間的相移。

圖6. ADA2200 功能框圖
使用ADA2200 實現鎖定檢測電路時,只需施加等于所需參考頻率64 倍的時鐘頻率,如圖7 所示。可編程濾波器的默認配置為帶通響應,因而無需對信號進行交流耦合。模擬輸出將以數倍于采樣速率的速度生成鏡像,因此可使用RC 濾波器后接Σ-Δ 型ADC 來濾除這些鏡像,而僅測量信號的解調直流分量。

圖7. 使用ADA2200 實現鎖定放大器
[page] 改進方波鎖定電路
圖8 顯示了方波調制電路的一種改進方式。傳感器采用方波進行激勵,但測量信號會與相同頻率和相位的正弦波相乘。現在,只有基波頻率的信號內容才會移至直流,而所有其他諧波都將移至非零頻率。這樣,便可輕松使用低通濾波器濾除測量信號中直流分量以外的所有其他分量。

圖8. 使用正弦波作為參考信號可防止噪聲解調到直流
另一個難點是,如果參考信號和測量信號之間存在任何相移,所產生的輸出都會小于無相移時。如果傳感器信號調理電路包含任何會造成相位延遲的濾波器,就會出現這種情況。在模擬鎖定放大器中,解決該問題的唯一方法是在參考信號路徑中增加相位補償電路。這并不容易,因為電路必須可調節,以補償各種相位延遲,并且會隨溫度、元件容差而變化。一個較為簡單的替代方案是添加第二個乘法級,將測量信號乘以參考信號的90°相移版本。這個第二級的輸出信號將與輸入的反相分量成比例,如圖9 所示。
經過兩個乘法器級后,低通濾波器的輸出為與輸入的同相(I)及正交(Q)分量成比例的低頻信號。要計算輸入信號的幅度,只需對I 和Q 輸出求平方和。這種架構的另一個好處是,可以計算激勵/參考信號和輸入之間的相位。

圖9. 使用參考信號的正交版本計算幅度和相位
目前討論的所有鎖定放大器均會產生參考信號來激勵傳感器。最后一項改進是允許將外部信號用作參考信號。例如,圖10 中的系統可使用寬帶白熾燈來測試表面的光學特性。此類系統可以測量鏡面反射率或表面污染程度等參數。與使用電子調制相比,使用機械斬波碟調制白熾燈光源會簡單得多。緊挨著斬波碟的低成本位置傳感器生成方波參考信號,饋入鎖定放大器。鎖相環不直接使用此信號,而是生成頻率和相位與輸入參考信號相同的正弦波。使用這種方法時必須注意一點,那就是內部生成的正弦波必須具有低失真。

圖10. 使用PLL 鎖定至外部參考信號
雖然使用分立式PLL 和乘法器可以實現該系統,但是使用FPGA實現鎖定放大器功能會帶來多個性能優勢。圖11 顯示了使用FPGA 構建的鎖定放大器, 其中前端基于零漂移放大器ADA4528-1 和24 位Σ-Δ型ADC AD7175。此應用無需極高帶寬,因此可將鎖定放大器的等效噪聲帶寬設置為50 Hz。受測器件為任何可外部激勵的傳感器。放大器配置為具有大小為20 的噪聲增益,以充分利用ADC 的滿量程范圍。雖然直流誤差不影響測量,但是最大限度地降低失調漂移和1/f 噪聲仍然很重要,因為它們會縮小可用動態范圍,尤其是在放大器配置為高增益的情況下。
[page]
ADA4528-1 具有2.5 μV 的最大輸入失調誤差,這意味著采用2.5 V基準電壓源時只能使用AD7175 滿量程輸入范圍的10 ppm。ADC后方的數字高通濾波器將濾除所有直流失調和低頻噪聲。要計算輸出噪聲,首先應計算AD7175 的電壓噪聲密度。數據手冊給出的噪聲規格為5.9 μV rms,測試條件是50 kSPS 輸出數據速率、使用sinc5 + sinc1 濾波器且使能輸入緩沖器。采用這些設置時的等效噪聲帶寬為21.7 kHz,這將產生40 nV/√Hz 的電壓噪聲密度。
ADA4528 的寬帶輸入噪聲為5.9 nV/√Hz,這在輸出端表現為118 nV/√Hz,因而總噪音密度為125 nV/√Hz。由于數字濾波器的等效噪聲帶寬僅為50 Hz,因此輸出噪聲為881 nV rms。在2.5 V的輸入范圍內,這會造成系統的動態范圍為126 dB。通過調整低通濾波器的頻率響應,我們能夠以帶寬來換取動態范圍。例如,如果將濾波器的帶寬設置為1 Hz,則動態范圍為143 dB,而帶寬設為250 Hz 時動態范圍為119 dB。

圖11. 基于FPGA 的鎖定放大器
數字鎖相環生成鎖定至激勵信號的正弦波,激勵信號可以在外部或內部生成,并且不必是正弦波。參考正弦波中的任何諧波將與輸入信號相乘,從而解調諧波頻率中存在的噪聲和其他無用信號,就像將兩個方波相乘一樣。以數字方式生成參考正弦波的一個優勢是,可通過調整數字精度獲得極低的失真性能。
圖12 顯示了使用4、8、16 和32 位精度以數字方式生成的四個正弦波。顯然,使用4 位精度所獲得的性能與圖5 中的情況差別不大,但是該情況會在使用更高精度后很快得到改善。使用16 位精度時,生成具有如此低總諧波失真(THD)的模擬信號比較困難,而使用32 位精度時,THD 超過–200 dB,這是模擬電路無法比擬的。此外,這些是以數字方式生成的信號,因此完全可以重復生成。當數據轉換成數字并輸入FPGA 后,將不會增加任何噪聲或漂移。
在乘法器之后,低通濾波器將濾除任何高頻分量并輸出信號的同相和正交分量。由于等效噪聲帶寬僅為50 Hz,因此沒有理由以250 kSPS 的原始采樣速率來傳輸數據。可在低通濾波器中加入抽取濾波器級,以降低輸出數據速率。最后一步是根據同相和正交分量計算輸入信號的幅度和相位。

結語
淹沒在噪底內的低頻小信號非常難以測量,但是通過應用調制和鎖定放大器技術可以實現高精度測量。最簡單的鎖定放大器可以是在兩個增益之間切換的運算放大器。雖然這不會帶來最低噪聲性能,但是與簡單的直流測量相比,此電路結構簡單、成本低,使其具有一定的吸引力。此電路的一項改進是使用正弦波參考和乘法器,但是這在模擬域中比較難以實現。為獲得最佳性能,可考慮使用低噪聲、高分辨率Σ-Δ 型ADC,對輸入信號進行數字化,在數字域中生成參考正弦波以及所有其他元素。
相關閱讀:
確定差分信號線寬間距,選擇緊耦合還是松耦合?
精彩博客:"信號穿墻"WiFi路由器,性能就真的強嗎?
時鐘信號的差分電容,一般人我不告訴他!




