【導讀】當今許多工業和儀器儀表應用都涉及到傳感器測量技術。傳感器的功能是監測系統的變化,然后將數據反饋給主控制單元。對于簡單的電壓或電流測量,傳感器可以呈阻性。但在某些傳感器系統中它卻呈感性或容性,這意味著傳感器在其工作范圍內的阻抗變化呈非線性。
引言
當今許多工業和儀器儀表應用都涉及到傳感器測量技術。傳感器的功能是監測系統的變化,然后將數據反饋給主控制單元。對于簡單的電壓或電流測量,傳感器可以呈阻性。但在某些傳感器系統中它卻呈感性或容性,這意味著傳感器在其工作范圍內的阻抗變化呈非線性。
這種復數傳感器的典型例子是接近傳感器——用來確定相對移動物體的距離;以及容性傳感器或感性傳感器——在醫學行業中用來測量血液流速以及分析血壓或血質。
測量這些“復數傳感器”的阻抗需要一個在傳感器頻率范圍內掃描的激勵源。本設計思想表明如何能夠方便地使用單芯片數字波形發生器提供這種大于 10 MHz 的頻率掃描。本文也將介紹一種集成激勵源、模數轉換器(ADC)和信號處理的完整單芯片阻抗轉換器(IDC),從而使它適合需要高達約達 50 kHz 激勵頻率的應用。
傳感器:工作原理
圖 1 示出一種具有感性阻抗或容性阻抗特性的傳感器模型。
通過傳感器的激勵頻率根據其電感(L)或電容(C)的瞬態值變化將表現出一種幅度、頻率或相移變化。例如,超聲波液體流量計通常表現為相移變化,而接近傳感器則是幅度變化。

跟蹤這種阻抗變化的最常用的方法就是監測電路的共振頻率。共振頻率是指電容值等于電感值時對應的頻點,這也是頻率曲線上的最大阻抗處對應的頻點。例如,考慮圖 2 所示的接近傳感器的情況。在正常工作模式下,即靜態條件下,傳感器的 L、R 和 C 具有唯一的值,這種情況在共振頻點將具有最大阻抗。當移動物體接近傳感器時,傳感器的 L 和 C 值會發生變化,從而產生了新的共振頻率。如果監測共振頻率的變化(從而監測阻抗)可以預測移動物體相對傳感器的距離。

計算共振頻率
計算電路的共振頻率需要一個交流(AC)激勵信號源,它在一段頻率范圍內掃描以繪出如圖 2 所示的頻率與阻抗關系曲線。AD9833 單芯片數字波形發生器可提供一種產生這種掃描輸出的簡單、低成本方法。我們通過寫入代表所需頻率的數字碼字來改變輸出頻率。AD9833 具有兩個頻率寄存器,從而允許用戶在對一個頻率寄存器編程的同時輸出第二個頻率寄存器。
AD9833 具有許多優點:輸出頻率的分辨率是 28 bit,所以用戶能夠以小于 0.1 Hz 的步幅增加輸出頻率。其輸出頻率范圍是 0~12.5 MHz,從而提供很寬的傳感器選擇靈活性。例如,有些傳感器具有很低的頻率范圍,但在該頻率范圍內需要很高的分辨率;而另外一些傳感器則需要以較低的分辨率調節很寬的頻率范圍。
使用頻率掃描方法,可以很容易地計算出傳感器的共振頻率,并且可以利用該數據提供許多應用的傳感器檢測信息。
系統框圖
圖 3 示出實現這種測量的系統框圖。AD9833 數字波形發生器可通過 ADSP-218x 數字信號處理器(DSP)對其設置。首先必須對 AD9833 的正弦輸出電壓波形進行低通濾波以去除來自主時鐘(MCLK)、鏡像頻率和高階頻率的饋通。然后將經過濾波的信號用作傳感器的激勵信號。根據傳感器的阻抗變化,將響應信號放大以使其適合 ADC 的動態范圍。傳感器的輸出和激勵頻率都饋送到 AD7866 12 bit 1 Msps 同步采樣雙 ADC。在將 ADC 的輸出數據饋送到 DSP,以便通過計算傳感器的幅度和相位變化做進一步的分析。

完整的集成傳感器解決方案
圖 3 所示的分立解決方案雖然有助于各種通用傳感器的阻抗測量,但使用的寬帶元件使該其成本昂貴。單個分立元件會增加其自身的誤差源,并且有源元件會增加相位誤差,所以必須經過校正將這些誤差消除掉。一定需要 DSP 處理復雜的數學運算,并且還可能需要外部存儲器來存儲 ADC 的原始數據,這樣會進一步增加成本。
如果僅需低頻傳感器分析,我們可提供一種低成本的解決方案。AD5933/34 12 bit IDC 和網絡分析器將上述主要處理框圖集成到一顆單芯片集成電路(IC)。圖 4 示出其功能框圖。

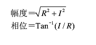
頻率發生器允許使用高達 50 kHz 的已知頻率激勵 100 Ω~20 MΩ范圍的復數阻抗。響應信號由內置 ADC 采樣。內置 DSP 引擎完成 ADC 輸出的離散傅立葉變換(DFT)。然后 DFT 算法返回實部(R)和虛部(I)數據字,從而允許方便地計算其阻抗。使用以下公式可以方便地計算阻抗的幅度和相位。

我們使用頻率掃描來確定實際的實部阻抗值 Z(ω)。我們可以在每一個頻點計算阻抗,并且可以建立頻率與幅度的關系曲線。

用戶可以設置 2 V、1 V、500 mV 或 200 mV 的峰峰值正弦信號作為外部負載的激勵源,并且可達到 27 bit(小于 0.1 Hz)的頻率分辨率。
為了完成頻率掃描,用戶首先必須設置掃描所需的工作條件:起始頻率、頻率步幅以及步數,然后需要一個啟動命令開始掃描。在每一點掃描頻率處 ADC 都完成 1024 點采樣并且計算 DFT 以為波形提供實部和虛部數據。將該實部和虛部數據通過 I2C 接口以兩個 16 bit 字的形式提供給用戶。如果其內置 DSP 有處理引擎,則意味著用戶不必處理復雜的數學計算。它也無需存儲 ADC 原始數據,僅需返回兩個 16 bit 的字。還可以采用降低功能和降低成本的 DSP 解決方案,因為已經顯著地降低了對處理能力的要求。階躍響應的增益可設置為 1 或 5 倍。其 ADC 是一款 3 V 電源供電的低噪聲、250 ksps 或 1 Msps 采樣率的高速 ADC。系統時鐘通過 MCLK 端的參考時鐘從外部提供,MCLK 可從外部晶體振蕩器或通過內部 PLL 單元提供。
免責聲明:本文為轉載文章,轉載此文目的在于傳遞更多信息,版權歸原作者所有。本文所用視頻、圖片、文字如涉及作品版權問題,請聯系小編進行處理。


