【導讀】電容傳感器具有高阻抗、小功率、動態范圍大等優點,因此,電容傳感器在自動檢測技術中占有很重要的地位,并得到廣泛的應用,但它在使用過程中也存在一些問題,如何解決這些問題呢?
根據教材的理解來說,我們都知道電容傳感器是將被測的非電量的變化轉換為電容量變化的一種傳感器,它不僅能測量荷重、位移、振動、角度、加速度等機械量,還能測量液面、料面、成分含量等熱工參量。這種傳感器具有高阻抗、小功率、動態范圍大、動態響應較快、幾乎沒有零漂、結構簡單和適應性強等優點。因此,電容傳感器在自動檢測技術中占有很重要的地位,并得到廣泛的應用。但它在使用過程中也存在一些問題:
首先其靈敏度的問題是我們經常會遇到的,這里我們可以看到由兩平行板組成的一個電容器,若忽略其邊緣效應,其電容量可用下式表示:

式中,S為極板相互遮蓋面積,單位為m2;d為兩平行板間的距離,單位為m;ε為極板間介質的介電常數;εr極板間介質的相對介電常數;ε0真空的介電常數。從上式可以看出,當d小時可使電容量增大,而使靈敏度增加,但d過小容易引起電容器擊穿,一般我們可以采取在極板間放置云母來改善,此時電容C為兩電容串聯,可寫成:

式中,ε1云母片的介電常數;ε2空氣的介電常數;d0為氣隙寬度;d為兩極板間的距離。云母的介電常數為空氣的7倍,云母的擊穿電壓不少于103kv/mm,空氣的擊穿電壓僅為3kv/mm。厚度僅為0.01mm的云母片,它的擊穿電壓也不小于10kv/mm,因此有了云母片,極板之間的距離可大大減小,還能使電容傳感器輸出特性的線性得到改善。提高靈敏度除了采用加云母片的方法外,還可以采取以下措施:提高電源頻率或減小極板厚度可削弱邊緣效應。
第二個問題是電容傳感器中一些量的變化范圍。在變極間距離的電容傳感器中,由于減小極間距離可以提高靈敏度,多用來測量微米級的位移,一般極板間距離不超過1mm,最大位移量應限制在間距的1/10范圍內;在變極板工作面積的傳感器中,可以測量厘米級的位移。在電容傳感器中,正確選擇電容的大小是很重要的。合理的設計既可以使傳感器滿足測量范圍的要求,又可以提高靈敏度,減小非線性誤差。一般其電容的變化在103PF~104PF范圍內,相對值ΔC/C的變化則在10-6~1范圍內。電容元件輸出阻抗一般在108Ω~106Ω,該數值還與所采用的交流電源頻率有關。為了減小絕緣電阻的影響和提高靈敏度,電源頻率一般采用在50kHz以上,但是采用高頻電源使信號放大、傳輸等問題比低頻時復雜的多。
第三個問題是分布電容的影響。由于電容傳感器一個很關鍵的問題是分布電容電容量與傳感器電容量相比不僅不能忽略,而且影響還極其嚴重,其后果是造成傳輸效率降低、靈敏度下降、測量誤差增加及穩定性變差。近幾年來,對此問題有了新的解決途徑。其中“整體屏蔽法”就是一例,以差動電容傳感器為例,說明整體屏蔽法,在下圖中,CX1、CX2為差動電容,U為電源,A為放大器,整體屏蔽法是把整個電橋(包含電源電纜等)一起屏蔽起來,設計的關鍵點在于接地點的合理設置。采用把接地點放在兩個平衡電阻R1、R2之間與整體屏蔽共地,這樣,傳感器公用極板與屏蔽之間的分布電容C1與放大器的輸入阻抗并聯,從而可把C1視作放大器的輸入電容。由于放大器的輸入阻抗有極大值,C1的并聯也不希望存在,但它只影響靈敏度而已,另外兩個分布電容C3、C4并聯在橋臂R1、R2上,會影響電橋的初始平衡和整體靈敏度,并不影響電橋的正常工作。因此,分布參數對傳感器電容的影響基本消除,整體屏蔽法是解決電容傳感器分布電容問題的很好方法,缺點是使結構復雜。

圖1:消除分布電容的工作電路圖
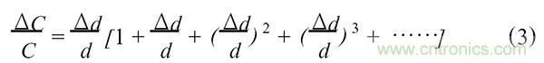
最后要說明的是關于非線性的問題。由下圖我們可以看到變間隙式電容傳感器相對輸出表達式為:

由上式可知變間隙式電容傳感器相對輸出與輸入為非線性關系。由于Δd/d<<1,工程上常采用以下兩種近似處理方法的辦法:
1.近似線性處理:即取上式右邊第一項近似,有:

2.近似非線性處理:即取相對輸出表達式的前兩項近似,有:

上述兩種近似產生的相對非線性誤差為:

通過以上的問題舉例與步驟分析我們可以看出,相對非線性誤差r0與間隙d0也成反比例關系,因此提高傳感器的靈敏度和減小非線性誤差是相矛盾的。在實際應用中,為解決這一矛盾,大都采用差動式電容傳感器。
相關閱讀:
威雅利免費樣片申請:加速度傳感器(GMA301/302/303)
威雅利免費樣片申請:壓力傳感器(TR系列)





